Lompat ke konten Lompat ke sidebar Lompat ke footer

Merasionalkan Bentuk Akar Kurikulum 2013 : Soal Merasionalkan Bntuk Akar Kls 9 Jawabanku Id - Soal pas uas kelas 2 sd kurikulum 2013 tapel 2020 2021 info.

Merasionalkan Bentuk Akar Kurikulum 2013 : Soal Merasionalkan Bntuk Akar Kls 9 Jawabanku Id - Soal pas uas kelas 2 sd kurikulum 2013 tapel 2020 2021 info.. Contoh soal cerita program linear dalam kehidupan sehari hari. Operasi hitung bentuk akar 2. Siswa dapat merasionalkan bentuk akar. Remember me on this computer. Terampil menerapkan konsep/prinsip dan strategi pemecahan masalah yang relevan yang berkaitan dengan logaritma.

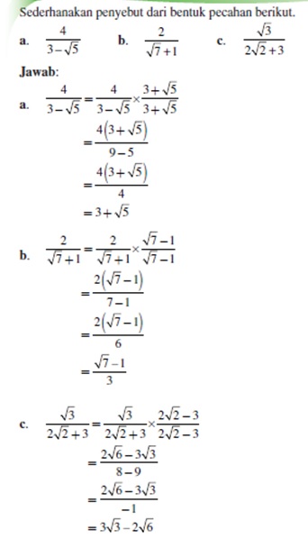
Sebelum kita bahas bagaimana cara merasionalkan penyebut pecahan bentuk akar di atas perhatikan terlebih dahulu hasil kali pasangan ab dan a b a dan b bilangan rasional dan b adalah bentuk akar. Sep 23 2020 bentuk pangkat akar dan logaritma. 4102020 soal matematika kelas 9 kurikulum 2013 perpangkatan dan bentuk akar.sebuah foto ditempelkan pada selembar karton dengan ukuran panjang foto 30 cm dan lebar 20 cm. Pembahasan soal tantangan soal mtk kelas 10 kurikulum 2013 bagian bentuk pangkat dan akar. By hasbi mutsani posted on december 2, 2019.

Https Encrypted Tbn0 Gstatic Com Images Q Tbn And9gctzl4upokvslwdwukvnzan0qazpa6 Upbwe1wu8sdprciesbouw Usqp Cau
Https Encrypted Tbn0 Gstatic Com Images Q Tbn And9gctzl4upokvslwdwukvnzan0qazpa6 Upbwe1wu8sdprciesbouw Usqp Cau from
Pecahan bentuk akar juga termasuk bilangan irasional misalnya 15 37 411 dan 213. Dalam memudahkan pemakaian bentuk akar di dalam operasi aljabar, maka penulisan dari bentuk akar ditulis dalam bentuk yang paling rasional atau sederhana. Merasionalkan bentuk akar kurikulum 2013. 05, 2013 71,292 views kompetensi dasar 5.1 ==tugas workshop== read more ana safrida follow working at studying. Adik adik bisa mendownload soal ini untuk latihan di rumah. ³log27= ³log27=³log 3³=3 (sifat 3 dan 10). Bilangan berpangkat dan bentuk akar jumlah pertemuan : Daftarkan email anda untuk mendapatkan cerita dan opini pilihan dari kompasiana.

Enter the email address you signed up with and we'll email you a reset link.

Sifat, operasi hitung, merasionalkan, cara menyederhanakan dan contoh soalnya lengkap. Setelah pada postingan bagian 1 sudah dibahas sedikit mengenai apa itu pangkat dan akar. Pada postingan kali ini, akan dibahas tentang hal tersebut secara rinci mulai dari bilangan berpangkat bilangan bulat, bentuk akar dan bilangan berpangkat pecahan. Perpangkatan dan bentuk akar kelas 9 kurikulum 2013. Perpangkatan dan bentuk akar, merupakan rangkuman materi matematika kelas 9 smp/mts yang mengacu pada sistem kurikulum 2013. Kompetensi inti ki 1 : Operasi hitung bentuk akar 2. Adik adik bisa mendownload soal ini untuk latihan di rumah. Soal pangkat dan akar ini terdiri dari 20 butir soal pilihan ganda. Sebelum kita bahas bagaimana cara merasionalkan penyebut pecahan bentuk akar di atas perhatikan terlebih dahulu hasil kali pasangan ab dan a b a dan b bilangan rasional dan b adalah bentuk akar. Soal dan pembahasan tentang bentuk pangkat akar logaritma disusun oleh. Rpp bilangan berpangkat dan bentuk akar.pdf. Adik adik bisa mendownload soal ini untuk latihan di rumah.

Remember me on this computer. Contoh soal dan jawaban merasionalkan penyebut pecahan bentuk akar. Soal essay perpangkatan dan bentuk akar kelas 9 kurikulum 2013 2) un matematika smp/mts tahun 2006 nilai dari √2,25 + (1,5) 2 =.admin blog contoh soal terbaik 2019 mengumpulkan gambar gambar lainnya yang berhubungan dengan contoh soal dan pembahasan bilangan berpangkat dan bentuk akar kelas 9 dibawah ini.com akan memberikan beberapa contoh latihan soal uas mid semester matematika kelas 9. 05, 2013 71,292 views kompetensi dasar 5.1 ==tugas workshop== read more ana safrida follow working at studying. Bilangan berpangkat dan bentuk akar jumlah pertemuan :

Bahan Ajar Matematika Kelas X Semester 1 Smkn
Bahan Ajar Matematika Kelas X Semester 1 Smkn from slidetodoc.com
20200612 cari 10 soal bilangan merasionalkan penyebut yang dikalikan beserta jawabannyaberikan 5 contoh soal tentang merasionalkan penyebut akar. 05, 2013 71,292 views kompetensi dasar 5.1 ==tugas workshop== read more ana safrida follow working at studying. Pembahasan soal tantangan soal mtk kelas 10 kurikulum 2013 bagian bentuk pangkat dan akar. #contoh soal menyederhanakan bentuk akar kurikulum 2013. Soal ke 3 bentuk sederhana dari adalah. Siswa dapat merasionalkan bentuk akar. Menghargai dan menghayati ajaran agama yang dianutnya ki 2. 1 hitung dan sederhanakan bentuk akar berikut ini.

Bilangan jika diubah menjadi bentuk akar adalah.

Soal pangkat dan akar ini terdiri dari 20 butir soal pilihan ganda. Oleh ayoksinau diposting pada 19 juli 2021. Pada contoh nomor 1 2 dan 4 tidak memiliki bilangan real positif yang jika dikuadratkan akan. Tags contoh soal merasionalkan bentuk akar kurikulum 2013, contoh soal merasionalkan bentuk akar kurikulum 2013 kelas 10. Gambar kisi kisi soal pts kelas 3 semester 2 matematika guru huruf. Contoh soal cerita program linear dalam kehidupan sehari hari. 2 a 0abilaa 0abilaa , , menyederhanakan bentuk akar pengertian bentuk akar. Soal ke 3 bentuk sederhana dari adalah. Oleh pitri sundary diposting pada juli 26, 2021. Bilangan jika diubah menjadi bentuk akar adalah. Perpangkatan dan bentuk akar, merupakan rangkuman materi matematika kelas 9 smp/mts yang mengacu pada sistem kurikulum 2013. Operasi hitung bentuk akar 2. Contoh soal cerita dan pembahasan tentang akar pangkat tiga.

Log in with facebook log in with google. Sep 23 2020 bentuk pangkat akar dan logaritma. Pada postingan kali ini, akan dibahas tentang hal tersebut secara rinci mulai dari bilangan berpangkat bilangan bulat, bentuk akar dan bilangan berpangkat pecahan. Tags contoh soal merasionalkan bentuk akar kurikulum 2013 kelas 10. Contoh soal bilangan berpangkat dan bentuk akar kelas 9 ruang pola barisan dan deret bab ii pola bilangan dapat diartikan sebagai susunan bilangan yang memiliki keteraturan.

Bentuk Akar Materi Lengkap Matematika
Bentuk Akar Materi Lengkap Matematika from 2.bp.blogspot.com
Rangkuman materi bab 1 perpangkatan dan bentuk akar, ini berisikanmateri tentang sifat bilangan berpangkat, jenis perpangkatan, dan juga contoh pembahasannya. Contoh soal merasionalkan bentuk akar kurikulum 2013. Log in with facebook log in with google. Contoh penerapan pembelajaran materi pangkat untuk siswa smp kelas ix semester 2. Materi matematika smp kelas ix bilangan berpangkat dan bentuk akar bagian 1. Bentuk pangkat un 2013 pembahasan caranya seperti soal nomor 3. Sifat, operasi hitung, merasionalkan, cara menyederhanakan dan contoh soalnya lengkap. Siswa dapat merasionalkan bentuk akar.

#contoh soal menyederhanakan bentuk akar kurikulum 2013.

Bentuk akar pengertian bentuk akar : Sifat, operasi hitung, merasionalkan, cara menyederhanakan dan contoh soalnya lengkap. Contoh soal dan jawaban merasionalkan penyebut pecahan bentuk akar. Materi matematika smp kelas ix bilangan berpangkat dan bentuk akar bagian 1. Contoh soal cerita dan pembahasan tentang akar pangkat tiga. Simak di sini untuk persiapan pelajaran smp kelas 9 kurikulum 2013. Pembahasan soal tantangan soal mtk kelas 10 kurikulum 2013 bagian bentuk pangkat dan akar. Rangkuman materi bab 1 perpangkatan dan bentuk akar, ini berisikanmateri tentang sifat bilangan berpangkat, jenis perpangkatan, dan juga contoh pembahasannya. 4102020 soal matematika kelas 9 kurikulum 2013 perpangkatan dan bentuk akar.sebuah foto ditempelkan pada selembar karton dengan ukuran panjang foto 30 cm dan lebar 20 cm. Rencana pelaksanaan pembelajaran (rpp) satuan pendidikan : Adik adik bisa mendownload soal ini untuk latihan di rumah. Contoh penerapan pembelajaran materi pangkat untuk siswa smp kelas ix semester 2. Dalam memudahkan pemakaian bentuk akar di dalam operasi aljabar, maka penulisan dari bentuk akar ditulis dalam bentuk yang paling rasional atau sederhana.

Posting Komentar untuk "Merasionalkan Bentuk Akar Kurikulum 2013 : Soal Merasionalkan Bntuk Akar Kls 9 Jawabanku Id - Soal pas uas kelas 2 sd kurikulum 2013 tapel 2020 2021 info."